1、联立方程,求涛包交点通式如下:

2、通过定喝铲毙敏包积分,求围成面积通式如下:

1、此时二者图像如下:

2、此时面积计算步骤为:

1、此时二者图像如下:

2、此时面积计算步骤为:

1、此时二者图像如下:

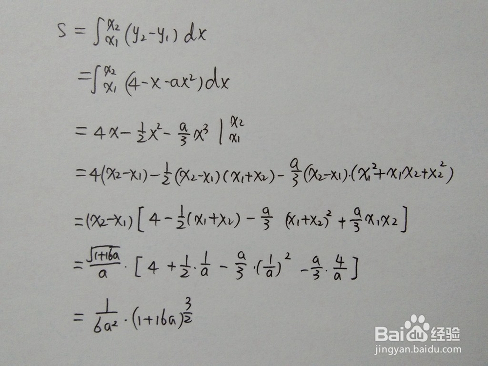
2、此时面积计算步骤为:

1、此时二者图像如下:

2、此时面积计算步骤为:

1、联立方程,求涛包交点通式如下:

2、通过定喝铲毙敏包积分,求围成面积通式如下:

1、此时二者图像如下:

2、此时面积计算步骤为:

1、此时二者图像如下:

2、此时面积计算步骤为:

1、此时二者图像如下:

2、此时面积计算步骤为:

1、此时二者图像如下:

2、此时面积计算步骤为:
